الجمعة 05 ديسمبر 2025 الموافق 14 جمادى الثانية 1447
رئيس التحرير
شيماء جلال
عاجل
مدارس

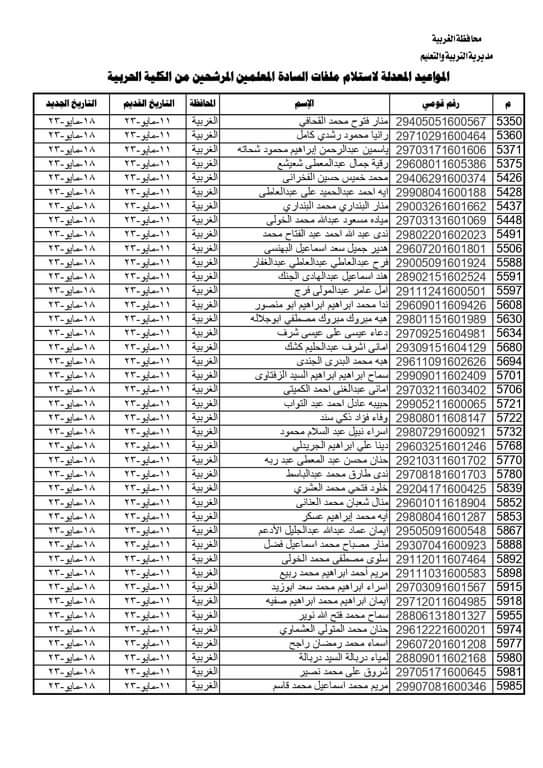
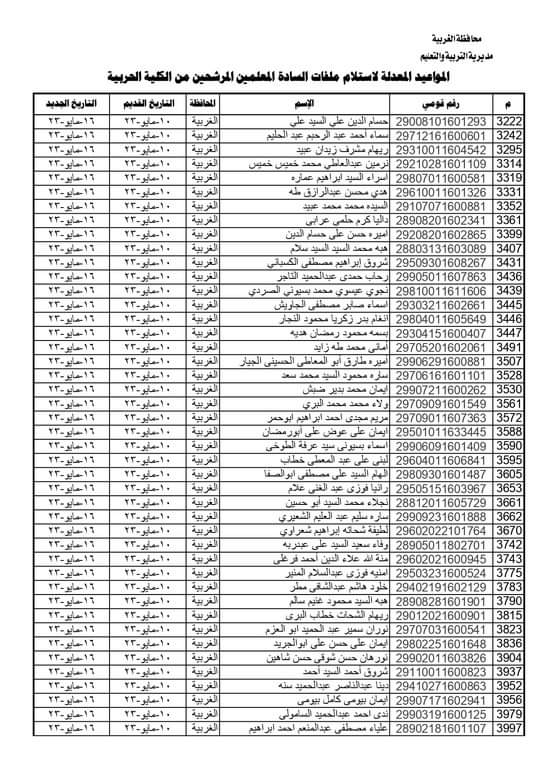
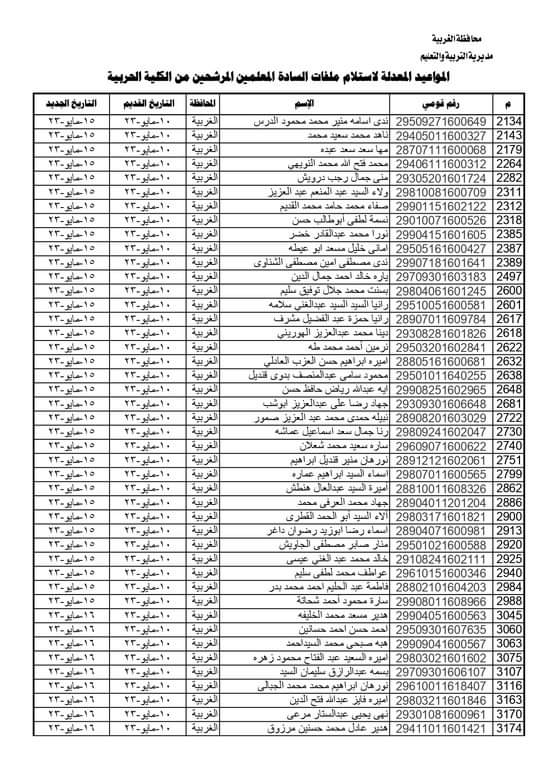
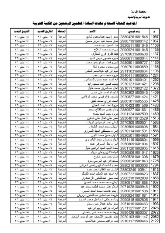
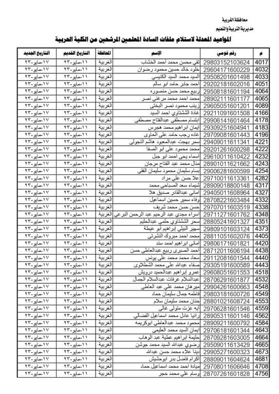
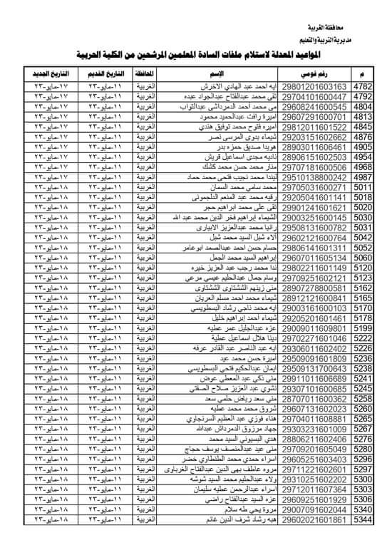
تعديل مواعيد الاختبارات البدنية والذهنية للناجحين بمسابقة 30 ألف معلم بالغربية

كشكول

أعلنت مديرية التربية والتعليم والتعليم الفني بالغربية، تعديل مواعيد الاختبارات البدنية والذهنية للمعلمين المرشحين لحضور التدريبات الذهنية والبدنية بمسابقة 30 ألف معلم.

ونشرت مديرية التربية والتعليم بالغربية، على صفحتها الشخصية على فيسبوك،  أسماء المعلمين المعلمين لحضور التدريب الذهني والبدني، للمعلمين الناجحين في مسابقة " ٣٠ ألف معلم " والتي تمت بمعرفة الجهاز المركزي للتنظيم والإدارة، وتصادف موعد تدريبهم مع موعد استلام الملفات الخاصة بهم من الكلية الحربية.

وطالبت مديرية التربية والتعليم بالغربية، المعلمين الوارد أسمائهم في الكشوف المرفقة بالالتزام بالمواعيد الجديدة المعدلة نظير كل اسم منهم، حيث تم تعديل هذه المواعيد بالتنسيق مع الكلية الحربية.

جاءت المواعيد الجديدة للمعلمين المرشحين للتدريبات البدنية والذهينة على النحو التالي: 

 

 

FB_IMG_1683552097201
FB_IMG_1683552097201
FB_IMG_1683552094429
FB_IMG_1683552094429
FB_IMG_1683552091560
FB_IMG_1683552091560
FB_IMG_1683552088974
FB_IMG_1683552088974
FB_IMG_1683552085892
FB_IMG_1683552085892
FB_IMG_1683552083162
FB_IMG_1683552083162
FB_IMG_1683552079947
FB_IMG_1683552079947